In Brazil, until the 1980s, the context of blood as transfusion therapy was marked by paid donations. Thus, self-interest has surpassed solidarity as a motivator to donate. Recruiting donors involves advising the population due to the difficulties related to the myths around donation. With the COVID-19 pandemic, recruiting convalescent plasma (CP) donors has been a hard.
This is an observational, prospective and non-interventionist study carried out in a hemotherapy unit of the Unified Health System, in central-western Brazil. Data collection was carried out from 06/19/2020 to 07/31/2020. The subjects were contacted by the Recruitment and Collection (CR) sector, through an active search, using lists of patients previously diagnosed with COVID-19. The study was also published on social and traditional networks, which resulted in self-reference. Convalescent COVID-19 patients tested, of both genders, aged between 18 and 60 years, weight over 60 kg, without symptoms for more than 14 days, and nulliparous donors were invited to the study. Those who met the criteria were scheduled for clinical and serological screening. The subjects eligible for donation, with IgG reagent, signed the Free and Informed Consent Form. Individuals with positive RT-PCR and / or non-reactive IgG were excluded.
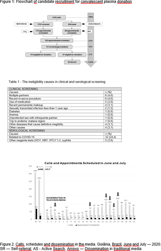
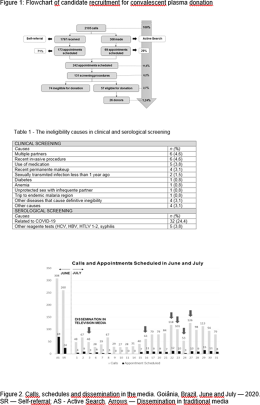
During the study period, RC made 308 and received 1,797 calls (2,105 contacts), generating 242 (11.5%) screening appointments, 173 (8.2%) of which resulted from self-referral and 69 (3.2%) from active search. Of these, 131 (6.2%) subjects attended the appointment. After clinical screening, 37 (28.25%) subjects were ineligible, 37 (28.25%) after serological tests and 57 (43.5%) were eligible for donation. The ineligibility causes in clinical and serological screening are described in table 1. Many countries face difficulties in meeting the demand for blood and its components during the pandemic (Barone & DeSimone. Transfusion, 2020), especially in those where blood commercialization is prohibited, as in Brazil. The purpose of recruiting donors is to make blood donation habitual to Brazilians, as it occurs in developed countries. Figure 2 shows self-referral rates after dissemination in traditional media. The ads focused on the donor's ability to save lives by encouraging altruism (Ronse, et al. 2018).On the other hand, despite attracting more people, most were not eligible for donation, demonstrating a great capacity to raise awarenessamong the population, but it was necessary to improve criterias and demonstrate them clearly for the likely donor. Of the 26 donors, 22 (84.6%) are older than 29. For these, awareness-raising occurred mainly through the television media 9(34.6%) and 5(19.3%) through personal contact. In the youngest 4(15.4%), the stimulus was social networks (Sümnig, et al. Transfusion, 2018). Marketing was important for recruitment. As blood donation is not usual for most brazilians, it is essential to plan, develop, evaluate strategies, enabling new forms of collection. Another difficulty encountered was the logistics for this donation type. As the donor is convalescent, the recruitment, screening, and collection was restricted to a physical space, isolated from conventional donos (Bloch, et al. J Clin Invest. 2020).
In conclusion, the COVID-19 pandemic has become a public health challenge worldwide. Many recovered patients could donate CP. However, it is necessary to define the ideal requirements for donor selection to ensure the therapeutic viability and efficacy of PC transfusion. Blood collection teams need to strengthen strategies to inform the population about blood donation needs. The information available in the traditional and digital media about the donation process can increase the donation rate and guarantee a safe blood component. Strategies such as a greater number of insertions in social networks with well-defined criteria for donating plasma from a convalescent donor, clarification of exclusion criteria in the means of greater reach, creation of easily accessible channels to the donor (registrations, central doubts),in addition to stratifying by age group and proposing different dissemination strategies and thanksgiving for the donation, forming a network of donations. The combined efforts of these actions will contribute with expert advice and experience, technical guidance and additional support to potentially save more lives.
No relevant conflicts of interest to declare.
Author notes
Asterisk with author names denotes non-ASH members.

This feature is available to Subscribers Only
Sign In or Create an Account Close Modal